ADVERTISEMENT
Minggu, 19 April 2026
  • Tentang Kami
  • Redaksi
  • Pedoman Pemberitaan Media Siber
  • Peraturan Perusahaan
  • Kontak Kami
Insan Channel
ADVERTISEMENT
  • Home
  • Pemerintahan
  • Pembangunan
  • Ekonomi
  • Hukum dan Kriminal
  • Pendidikan
  • Agama
  • Pariwisata
  • Lainnya
    • Peristiwa
    • Sosial dan Budaya
No Result
View All Result
  • Home
  • Pemerintahan
  • Pembangunan
  • Ekonomi
  • Hukum dan Kriminal
  • Pendidikan
  • Agama
  • Pariwisata
  • Lainnya
    • Peristiwa
    • Sosial dan Budaya
No Result
View All Result
Insan Channel
No Result
View All Result
Home Ekonomi

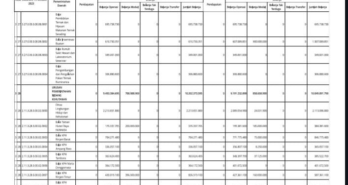
Struktur Perubahan APBD Provinsi NTB TA 2023 Menurut Urusannya (15)

admin@insanchannel.com by admin@insanchannel.com
18 November 2023
in Ekonomi, Pembangunan, Pemerintahan
0
Struktur Perubahan APBD Provinsi NTB TA 2023 Menurut Urusannya (15)

Struktur Perubahan APBD Provinsi NTB TA 2023 Menurut Urusannya ke 13.

Bagikan di WahtsAppBagikan di Facebook

MATARAM, INSANCHANNEL.COM – Pemerintah Provinsi NTB melalui Badan Pengelolaan Keuangan dan Aset Daerah menyampaikan ringkasan perubahan APBD yang diklasifikasi menurut urusan pemerintahan daerah dan organisasi tahun anggaran 2023. Ringkasan ini sesuai lampiran II Peraturan Daerah Provinsi NTB Nomor 04 tahun 2023 tanggal 19 Oktober 2023.

Struktur Perubahan APBD Provinsi NTB TA 2023 Menurut Urusanya ke 13.

Adapun ringkasan perubahan APBD Provinsi  NTB tahun anggaran 2023 dapat dilihat pada link :

RelatedPosts

Wujudkan Good Corporate Governance, STM Sampaikan Perkembangan Proyek Hu’u ke Forkopimda Dompu

Di Tengah Keterbatasan Fiskal, Bupati Dompu Berharap STM Bisa Gerakkan Ekonomi Daerah

Kemenag Dompu Perkuat Data MyASN, ASN Diingatkan Administrasi Bukan Hal Sepele

Struktur Perubahan APBD Provinsi NTB TA 2023 Menurut Urusannya ke 13

Berita ini menjadi bagian dari pengumuman Perubahan APBD Provinsi NTB tahun anggaran 2023 sesuai lampiran II Perda No 4 tahun 2023 tanggal 19 Oktober 2023 yang dimuat melalui media massa www.insanchannel.com. (02ic/*)

Tags: Struktur Perubahan APBD Prov NTB TA 2023
Previous Post

Dompu Tercatat sebagai Daerah dengan Produktifitas Jagung Tertinggi di NTB

Next Post

Kadistanbun Dompu Jadi Penyangga Diskusi Pengembangan Jagung Nasional 2024

admin@insanchannel.com

admin@insanchannel.com

Related Posts

Wujudkan Good Corporate Governance, STM Sampaikan Perkembangan Proyek Hu’u ke Forkopimda Dompu
Ekonomi

Wujudkan Good Corporate Governance, STM Sampaikan Perkembangan Proyek Hu’u ke Forkopimda Dompu

14 April 2026
Di Tengah Keterbatasan Fiskal, Bupati Dompu Berharap STM Bisa Gerakkan Ekonomi Daerah
Ekonomi

Di Tengah Keterbatasan Fiskal, Bupati Dompu Berharap STM Bisa Gerakkan Ekonomi Daerah

13 April 2026
Kemenag Dompu Perkuat Data MyASN, ASN Diingatkan Administrasi Bukan Hal Sepele
Pemerintahan

Kemenag Dompu Perkuat Data MyASN, ASN Diingatkan Administrasi Bukan Hal Sepele

8 April 2026
Komisi III DPRD NTB Apresiasi Kinerja Bank NTB Syariah : “Kinerja Tumbuh, Fondasi Kuat”
Ekonomi

Komisi III DPRD NTB Apresiasi Kinerja Bank NTB Syariah : “Kinerja Tumbuh, Fondasi Kuat”

7 April 2026
BKPH Sebut PT STM Punya Track Record Baik Mendukung Pemantauan Hutan
Ekonomi

BKPH Sebut PT STM Punya Track Record Baik Mendukung Pemantauan Hutan

7 April 2026
Sidak Hari Pertama Kerja, Kemenag Dompu Pastikan ASN dan Guru Langsung “Gas” Layani Publik
Pemerintahan

Sidak Hari Pertama Kerja, Kemenag Dompu Pastikan ASN dan Guru Langsung “Gas” Layani Publik

30 Maret 2026
Next Post
Kadistanbun Dompu Jadi Penyangga Diskusi Pengembangan Jagung Nasional 2024

Kadistanbun Dompu Jadi Penyangga Diskusi Pengembangan Jagung Nasional 2024

Tinggalkan Balasan Batalkan balasan

Alamat email Anda tidak akan dipublikasikan. Ruas yang wajib ditandai *

BERITA TERBARU

Perkuat Budaya Literasi, Inovasi NTB dan Pemkab Dompu Gelar Sosialisasi Program Bareeka

Perkuat Budaya Literasi, Inovasi NTB dan Pemkab Dompu Gelar Sosialisasi Program Bareeka

16 April 2026
Perkuat Budaya Literasi, Inovasi NTB dan Pemkab Dompu Gelar Sosialisasi Program Bareeka

Jamin Kualitas Halal, MUI NTB Dorong Sosialisasi dan Standarisasi Sembelih Halal

16 April 2026
Wujudkan Good Corporate Governance, STM Sampaikan Perkembangan Proyek Hu’u ke Forkopimda Dompu

Wujudkan Good Corporate Governance, STM Sampaikan Perkembangan Proyek Hu’u ke Forkopimda Dompu

14 April 2026
Di Tengah Keterbatasan Fiskal, Bupati Dompu Berharap STM Bisa Gerakkan Ekonomi Daerah

Di Tengah Keterbatasan Fiskal, Bupati Dompu Berharap STM Bisa Gerakkan Ekonomi Daerah

13 April 2026
  • Tentang Kami
  • Redaksi
  • Pedoman Pemberitaan Media Siber
  • Peraturan Perusahaan
  • Kontak Kami

© 2021 - insanchannel.com - Developed by Tokoweb.co

  • Home
  • Pemerintahan
  • Pembangunan
  • Ekonomi
  • Hukum dan Kriminal
  • Pendidikan
  • Agama
  • Pariwisata
  • Lainnya
    • Peristiwa
    • Sosial dan Budaya