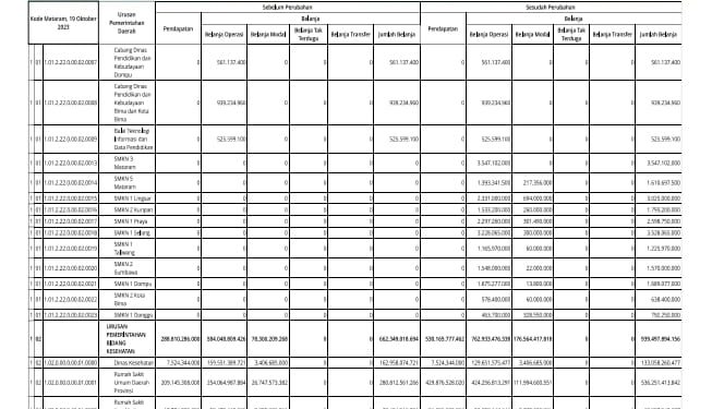
MATARAM, INSANCHANNEL.COM – Pemerintah Provinsi NTB melalui Badan Pengelolaan Keuangan dan Aset Daerah menyampaikan ringkasan perubahan APBD yang diklasisifikasi menurut urusan pemerintahan daerah dan organisasi tahun anggaran 2023. Ringkasan ini sesuai lampiran II Peraturan Daerah Provinsi NTB Nomor 04 tahun 2023 tanggal 19 Oktober 2023.

Adapun ringkasan perubahan APBD Provinsi NTB tahun anggaran 2023 dapat dilihat pada link : Struktu Perubahan APBD Provinsi NTB TA 2023 Menurut Urusannya ke 2
Berita ini menjadi bagian dari pengumuman Perubahan APBD Provinsi NTB tahun anggaran 2023 sesuai lampiran II Perda No 4 tahun 2023 tanggal 19 Oktober 2023 yang dimuat melalui media massa www.insanchannel.com. (02ic/*)











